当前位置:首页 > 科研进展 > 科研进展新闻
科研进展新闻

重点实验室在濒危植物迁地保护种间互作研究中取得新进展

日期:2024-04-02来源:

字体:

迁地保护是珍稀濒危植物保护的重要手段之一。以往的研究往往多关注非生物因素对迁地保护成功的影响。近年来,生物因素(如动植物种间互作)在植物迁地保护中逐渐得到重视。当前,多数研究仅关注互惠(如传粉)或者拮抗(如植食)作用,但是这两种作用往往同时发生,即可能同时面临天敌逃逸带来的优势但又面临传粉昆虫不足的风险,因而需要同时关注并整合在迁地保护管理中。

重点实验室植被生态学学科团队以湖北特有的极小种群野生植物和国家二级重点保护野生植物黄梅秤锤树(Sinojackia huangmeiensis)为研究对象,比较了虫食和传粉特征在该物种唯一的野生种群和三个迁地保护种群(近地迁地种群、北方迁地种群和南方迁地种群)间的差异,旨在揭示植物-动物互作在迁地和野生种群间的变化。

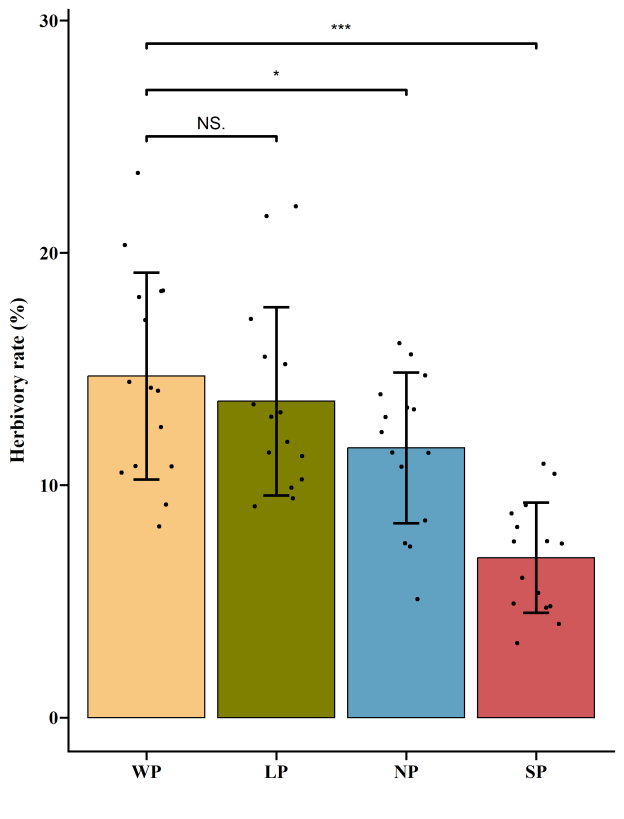
野生种群、近地迁地种群和北方迁地种群的主要植食动物是 刺蛾科幼虫,而在南方迁地种群中观测到的唯一植食动物是蜗牛。与野生种群相比,近地迁地种群的叶片虫食率无显著变化,而北方和南方迁地种群的叶片虫食率均显著降低;叶片防御性状(总酚含量、丹宁含量、叶片厚度和叶片干物质含量)在三个迁地种群中显著升高或者无显著变化。

只有一种传粉昆虫(中华蜜蜂Apis cerana)同时出现在四个种群中。北方和南方迁地种群缺失了部分在野生种群和近地迁地种群中均出现的传粉者,但是在北方和南方迁地种群中记录到一种在野生种群和近地迁地种群中均未出现的传粉昆虫。与野生种群相比,昆虫访花频率在南方迁地种群显著升高,但是在近地和北方迁地种群中无显著变化。

总的来说,与野生种群相比,虫食和传粉特征在北方和南方迁地种群中均有所变化,包括植食动物种类、叶片虫食率、传粉昆虫种类、访花频率和坐果率等。本研究的独特之处在于为拮抗和互利生物互作均在迁地种群和野生种群间发生变化提供实证。研究强调在未来的植物迁地保护中要同时关注非生物因素和生物因素的影响,在生物因素中要同时关注互惠和拮抗作用,为迁地保护策略制定和成效评估提供新视角。

研究成果近日以“Shifts in plant-invertebrate interactions between wild and ex situ conservation populations of a critically endangered tree”为题,在线发表于生态期刊Journal of Applied Ecology。本研究得到了国家自然科学基金项目(3237165331870510)的资助。

论文链接https://besjournals.onlinelibrary.wiley.com/doi/abs/10.1111/1365-2664.14639

1 研究位点示意图

2 黄梅秤锤树啃食率

上一篇: 《自然》重点实验室及中-非联合研究中心团队领衔解析猴面包树属植物的演化历史 下一篇: 重点实验室在重要传粉昆虫熊蜂对花资源利用策略研究中获进展

附件下载: